欢迎访问枣庄市市中区人民政府网站! 今天是:

无障碍| 繁体 | 简体| 设为首页 | 收藏本站

区政府信息公开年报

您现在的位置:首页 > 政府信息公开 > 信息公开年报 > 2019年信息公开年报 > 区政府信息公开年报

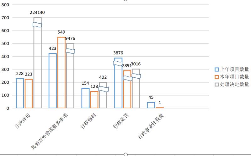
市中区人民政府2019年度政府信息公开工作报告图文解读
作者: 更新时间:2020-07-15 09:30


中共市中区委、市中区人民政府主办 各镇街、区直部门内容保障

市中区大数据中心建设 地址:枣庄市市中区君山中路321号 邮编:277101

违法和不良信息举报电话:(0632)3921308 举报邮箱:szqxxglzx@zz.shandong.cn

网站备案:鲁ICP备07002590号-1 政府网站标识码:3704020008  鲁公网安备:37040202000003号