- 索 引 号:370402/2025-01367
- 主题分类:通知公告
- 发布机构:教育和体育局
- 成文时间:2025年06月12日
- 文 号:无
- 发文时间:2025年06月12日
- 标 题:市中区中考考点温馨提示!
- 效力状态: 无效
市中区中考考点温馨提示!
枣庄市2025年初中学业水平考试枣庄三中考点温馨提示
各位考生、家长:
大家好!
枣庄市2025年初中学业水平考试将于6月13—15日举行。为了帮助枣庄三中考点的广大考生顺利完成考试,现将有关考试要求提示如下,请考生及家长做好准备。
一、考试时间安排及指令说明

考试信号表

*注:第一场考前40分钟组织入场,英语考试8:50起停止入场(在6月14日下午考试结束时通过广播提醒)。下午两场考试之间,考生不出考点(初三只重考生物的可以出考点)。
二、考场分布及安排表
枣庄三中市中校区考场平面图

市中校区考场对照表

枣庄三中新城校区考场平面图

新城校区考场编排及示意图

三、考试要求
1.考生需携带准考证在规定时间、地点参加考试。
2.考生一律从(市中校区:北大门;新城校区:西北门)进入考点。
3.考生只准带2B铅笔、书写用0.5mm黑色签字笔、橡皮、直尺、圆规、三角板(以上文具需放在透明文具袋中)和透明水杯进入考点。特别提醒:为方便考生快速通过入校安检,请不要穿戴有金属配件的服饰,不能将手表、电子钥匙、书籍簿本、背包、不透明文具袋、不透明水杯等物品带进考点,请入场前妥善存放。
4.严禁携带各种通讯工具(如无线耳机、移动电话及其他无线接收、传送设备等)、电子存储记忆录放设备和涂改液、修正带、胶带等物品进入考场。《国家教育考试违规处理办法》规定,携带手机等具备发送或接受信息功能的电子设备进入考点即视为考试违纪。
5.开考30分钟后(英语在开考前10分钟内)即不得入场。所有科目考试结束前考生不得提前交卷离场,考试结束离场时听从工作人员指挥有序离场,不得在校内逗留。
6. 考试期间以广播或统一指令计时为准,考场内时钟仅供参考。
7.考试期间开考信号发出后才能开始答题;考试结束信号发出后,请立即停止答题。拖答、抢答均将视为考试违规行为进行处理。
8.为给考生营造优良的考试环境,考试期间将进行交通管制。请接送考生的家长不要在大门口聚集,优先保证考生通行。到达考点的考生请及时进入考点,不要在考点周边聚集。
9.6月12日下午初三考生可凭准考证来我校考点看考场,其他时间恕不允许进入考点。具体看考场时间为:市中校区:6月12日下午5:30—6:30,新城校区:6月12日下午5:00—6:00。初二地生考试的考生6月15日13:00可凭准考证来我校考点查看考场并参加考试,看完考场不允许离开考点。
10.所有考场均配备了空调,不适应空调的考生请提前准备一件外套。
11.请留意中考期间天气变化,如有雨,请考生带好雨具。
祝各位考生考试顺利,金榜题名。
枣庄市第三中学
2025年6月10日
枣庄市2025年初中学业水平考试枣庄十六中光明路校区考点温馨提示
各位考生、家长:
大家好!
2025年初中学业水平考试将近,为了使大家更好地把握备考节奏,清楚知晓各科考试时间,方便考生提前了解考点考场情况,有效减缓考试紧张情绪,现将我考点基本情况及考试有关要求告知如下,请考生及家长做好准备。
一、考点地址——枣庄市市中区光明东路东首

二、考试时间安排

三、考场分布及安排表
考场平面图

四、考试相关事项提醒
1.凭准考证按规定时间、地点参加考试,考生一律从考点北门入场。开考30分钟后(英语在开考前10分钟内)即不得入场。不得提前交卷。
2.备齐考试用具,严禁携带各种通讯工具(如无线耳机、移动电话及其他无线接收、传送设备等)、电子存储记忆录放设备和涂改液、修正带、胶带等物品进入考场。只准带2B铅笔、书写用0.5mm黑色签字笔、橡皮;直尺、圆规、三角板。考场内考生之间不得传递任何物品。
3.对号入座,将准考证等证件放在课桌左上角(01~06座号可放在右上角)以便核验。考生领到答题卡和试题后即全面检查,如答题卡和试题有重印、漏印、缺页、字迹不清等问题,立即举手报告(否则在开考后发现上述问题,由此延误的考试时间不予弥补)。
4.必须在答题卡各题目的答题区域内作答,第I卷必须用2B铅笔填涂、第Ⅱ卷必须用0.5mm黑色签字笔书写,严禁在答题卡上做任何标记,严禁折叠,违反以上答题无效。
5.诚信守纪考试。考试期间,所有考场均实行全覆盖、全时段网上监控录像,并采用视频智能巡查新技术,实时智能抓拍违规行为,监控视频和后期录像回放都将作为认定考试违规的依据。请考生按照考点统一发出的考试指令进行考试(考场内挂钟时间仅供参考),开考信号发出前和结束信号发出后,切勿动笔答题。
6.做好生活管理。注意食品安全,重视营养均衡;做好个人健康管理,备好雨具等生活用品;预留雨天、堵车等突发情况的缓冲期,注意出行交通安全。
7.6月12日下午17:00—17:30九年级考生可凭准考证来我校考点查看考场。6月15日上午11:30—12:00八年级考生可凭准考证来我校考点查看考场。
亲爱的考生们,日夜拼搏终有回响,执笔为翼不负青春。沉着应战,落墨生辉,这个盛夏终将见证你奔赴星海的璀璨,加油!
衷心祝愿全体考生取得佳绩,为初中时光画上圆满的句号!
枣庄市第十六中学
2025年6月11日
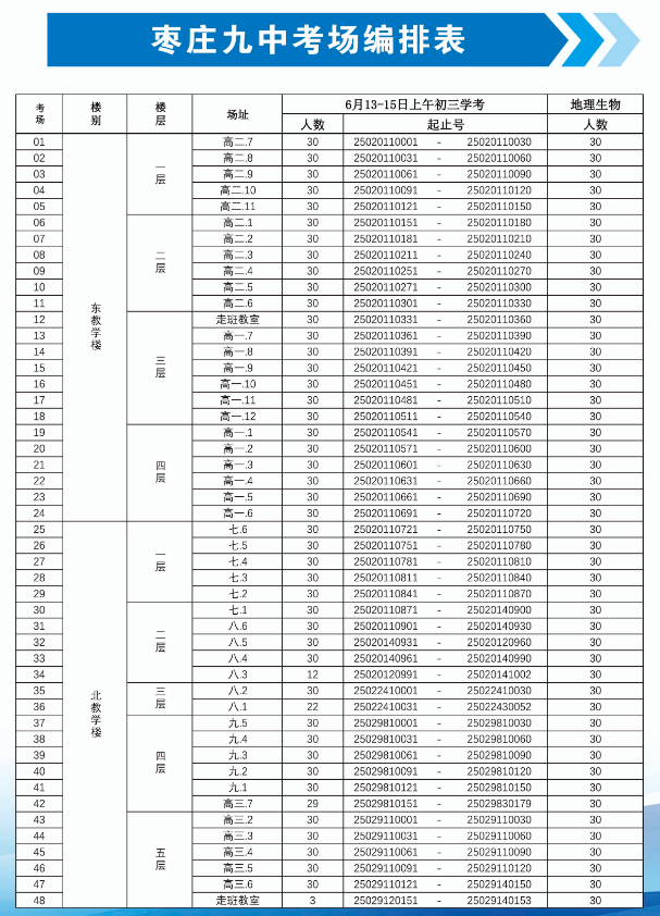
枣庄市2025年初中学业水平考试枣庄九中考点温馨提示
各位考生、家长:
大家好!
枣庄市2025年初中学业水平考试将于6月13—15日举行。为了帮助枣庄九中考点的广大考生顺利完成考试,现将有关考试要求提示如下,请考生及家长做好准备。
一、考试时间安排及指令说明

考试信号表

*注:第一场考前40分钟组织入场,英语考试8:50起停止入场(在6月14日下午考试结束时通过广播提醒)。下午两场考试之间,考生不出考点(初三只重考生物的可以出考点)。
二、考场分布及安排表


三、考试要求
1.考生需携带准考证在规定时间到指定地点参加考试。
2.考生只准带2B铅笔、书写用0.5mm黑色签字笔、橡皮、直尺、圆规、三角板(以上文具需放在透明文具袋中)和透明水杯进入考点。特别提醒:为方便考生快速通过入校安检,请不要穿戴有金属配件的服饰,不能将手表、电子钥匙、书籍簿本、背包、不透明文具袋、不透明水杯等物品带进考点,请入场前妥善存放。
3.严禁携带各种通讯工具(如无线耳机、移动电话及其他无线接收、传送设备等)、电子存储记忆录放设备和涂改液、修正带、胶带等物品进入考场。《国家教育考试违规处理办法》规定,携带手机等具备发送或接受信息功能的电子设备进入考点即视为考试违纪。
4.开考30分钟后(英语在开考前10分钟内)即不得入场。所有科目考试结束前考生不得提前交卷离场,考试结束离场时听从工作人员指挥有序离场,不得在校内逗留。
5.考试期间以广播或统一指令计时为准,考场内时钟仅供参考。
6.考试期间开考信号发出后才能开始答题;考试结束信号发出后,请立即停止答题。拖答、抢答均将视为考试违规行为进行处理。
7.为给考生营造优良的考试环境,考试期间将进行交通管制。请接送考生的家长合理规划接送路线,不要在大门口聚集,优先保证考生通行。到达考点的考生请及时进入考点,不要在考点周边聚集。
8.6月12日下午17:20-18:00初三考生可凭准考证来我校考点看考场,其它时间恕不允许进入考点。初二地生考试的考生6月15日13:30可凭准考证来我校考点查看考场并参加考试,看完考场不允许离开考点;只参加地理重考考生15:40后进入考场,不得提前进入校园。
9.留意考试期间的天气变化,如有雨,请考生备好雨具。所有考场均配备了空调,如不适应空调的考生,请提前准备适宜外套。
祝各位考生考试顺利,金榜题名。
枣庄市第九中学
2025年6月11日
枣庄市2025年初中学业水平考试鑫昌路小学考点温馨提示
各位考生、家长:
大家好!
枣庄市2025年初中学业水平考试将于6月13—15日举行。为了帮助鑫昌路小学考点的广大考生顺利完成考试,现将有关考试要求提示如下,请考生及家长做好准备。
一、考试时间安排及指令说明

二、考场分布及安排表


三、考试相关事项提醒

1.考生需凭准考证按规定时间、地点参加考试。
2.为给考生营造优良的考试环境,请接送考生的家长不要在大门口聚集,优先保证考生通行。
3.入校时进行两次安检。考生只准带2B铅笔、书写用0.5mm黑色签字笔、橡皮、直尺、圆规、三角板(以上文具需放在透明文具袋中)和透明水杯进入考点。
4.特别提醒:为方便考生快速通过入校安检,请不要穿戴有金属配件的服饰,不能将手表、电子钥匙、书籍簿本、背包、不透明文具袋、不透明水杯等物品带进考点,请入校前妥善存放。
5.严禁携带各种通讯工具(如无线耳机、移动电话及其他无线接收、传送设备等)、电子存储记忆录放设备和涂改液、修正带、胶带等物品进入考场。《国家教育考试违规处理办法》规定,携带手机等具备发送或接受信息功能的电子设备进入考点即视为考试违纪。
6.开考30分钟后(英语在开考前10分钟内)即不得入场。2025年初中学业水平考试要求所有考生不得提前交卷。
7.考试期间以广播或统一指令计时为准,考场内时钟仅供参考。
8.考试期间开考信号发出后才能开始答题;考试结束信号发出后,请立即停止答题。拖答、抢答均将视为考试违规行为进行处理。
9.考试期间将进行交通管制,考点门口将不能停靠车辆。到达考点的考生请及时进入考点,不要在考点周边聚集。
10.6月12日下午九年级考生可凭准考证来我校考点看考场,具体看考场时间为:6月12日下午5:40-6:20。
11.6月15日上午八年级考生可凭准考证来我校考点看考场,具体看考场时间为:6月15日上午11:30-12:30。
12.考场均配有空调,不适应空调的考生请提前准备一件外套。
13.中考期间如遇天气变化,请考生自备好雨具。
鑫昌路小学
2025年6月11日
枣庄市2025年初中学业水平考试东湖小学考点温馨提示
各位考生、家长:
大家好!
2025年初中学业水平考试将近,为了使大家更好地把握备考节奏,清楚知晓各科考试时间,方便考生提前了解考点考场情况,有效减缓考试紧张情绪,现将我考点基本情况及考试有关要求告知如下,请考生及家长做好准备。
一、考点地址——龙城西路777号(东湖小学-南门)

二、考场分布及安排表

三、考试相关事项提醒
1.凭准考证按规定时间、地点参加考试。开考30分钟后(英语在开考前10分钟内)即不得入场。不得提前交卷。
2.严禁携带各种通讯工具(如无线耳机、移动电话及其他无线接收、传送设备等)、电子存储记忆录放设备和涂改液、修正带、胶带等物品进入考点大门。请提前在大门外,自行做好妥善处理。考场内只准带2B铅笔、书写用0.5mm黑色签字笔、橡皮;直尺、圆规、三角板。考场内考生之间不得传递任何物品。
3.对号入座,将准考证等证件放在课桌左上角以便核验。考生领到答题卡和试题后即全面检查,如答题卡和试题有重印、漏印、缺页、字迹不清等问题,立即举手报告(在开考后发现上述问题,由此延误的考试时间不予弥补)。
4.必须在答题卡各题目的答题区域内作答,第I卷必须用2B铅笔填涂、第Ⅱ卷必须用0.5mm黑色签字笔书写,严禁在答题卡上做任何标记,严禁折叠,违反以上答题无效。
5.诚信守纪考试。考试期间,所有考场均实行全覆盖、全时段网上监控录像,并采用视频智能巡查新技术,实时智能抓拍违规行为,监控视频和后期录像回放都将作为认定考试违规的依据。请考生按照考点统一发出的考试指令进行考试(考场内挂钟时间仅供参考),开考信号发出前和结束信号发出后,切勿动笔答题。
6.做好生活管理。注意食品安全,重视营养均衡;做好个人健康管理,备好雨具等生活用品;预留雨天、堵车等突发情况的缓冲期,注意出行交通安全。
四、看考场事宜
9年级:6月12日(周四)17:50—18:20 可凭准考证来我校考点查看考场。
8年级:6月15日11:30—12:30 可凭准考证来我校考点查看考场。
(看考场时,不得进入考场。)
亲爱的考生们,晨昏苦读终见锋芒,握笔为剑勇赴征程。从容应考,落笔生花,这个盛夏定将铭刻你逐梦苍穹的高光时刻,加油!
愿每位考生皆得所愿,为初中岁月书写璀璨收官之章!
东湖小学
2025年6月12日


鲁公网安备:37040202000003号